Flicker measurement of lamps and luminaires

Recommended product: Flickermeter (Flicker-L)

This article deals with flicker measurement of lamps and luminaires using JETI Flickermeter (Flicker-L).
Many lamps and displays in our daily environment do not emit completely stable light. Instead, their light output varies, sometimes strongly, and often with frequencies far above those visible to the Human eye.
Such “flicker” can cause headaches and is distracting. For people who are sensitive or suffer from epilepsy, it can even result in seizures.
For this reason, various ways have been created to measure and assess the severity of flicker.

Measuring Values
Usually, Flicker is measured by recording a short sample of a lamp or display emitting light. In most cases, the frequencies of the signal are analyzed (Fourier Transformation) and the dominant frequency is determined.
Afterwards, various values to assess the flicker severity are calculated. These can be rather simple, like “Percentage Flicker”, “Flicker Index” and “Flicker Contrast”. But there are also more complex measurements and calculations like “SVM” and “PstLM”.
flicker lamp
Please click the table to enlarge.

table flicker lamp
Flicker Percent
The “percentage” of flicker is just calculated from the largest and smallest measured light value. It is assumed that flicker occurs between these maximum values, an assumption that requires periodic or similar light sources.
Flicker percent
PstLM
“PstLM” (“Short time flicker perceptibility”) uses a former flicker measurement for power lines and applies it to lamps. Several high and low pass filters that are typical for circuits are used in the measurement and calculation. Afterwards, a statistical evaluation using probability density functions (assessing how often a certain threshold is crossed by the measured signal) is performed.

The whole procedure is organized in “blocks” named 1 – 5:
(1) Light measurement
(2) Signal conditioning and normalization
(3) Filtration
(4) Squaring and smoothing
(5) Statistical evaluation
Flicker PstLM
Standards/Norms:
  • IEC TR 61547-1 “Equipment for general lighting purposes - EMC immunity requirements - Part 1: An objective voltage fluctuation immunity test method”
  • IEC 61000-4-15 “Electromagnetic compatibility (EMC) - Part 4: Testing and measurement techniques”
Recommended product
Flicker-L
Flicker Contrast
Flicker “Contrast” is a measurement value often used for diplays. It is calculated in a similar manner as flicker percent:
Flicker contrast
Flicker Index
Flicker “Index” is dividing the area above the average of the signal by the entire area of the signal. This value is more robust in regard to single, high spikes in the measured data that might distort “percent flicker”. At the same time, it might also “overlook” thin spikes that produce visible flicker.
Flicker index
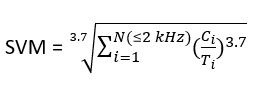
SVM
“SVM” (“Stroboscopic visibility measure”) is only meant for frequencies above 80 Hz. It is not the same as “common” flicker - additional movement of the source or the observer plays a role to make this flicker effect visible.

Flicker SVM

Ci: relative amplitude of i-th Fourier coefficient
Ti: weighing factor for visibility of stroboscope effect

Standards/Norms:
  • CIE_TN_006_2016 “Visual Aspects of Time-Modulated Lighting Systems – Definitions and Measurement Models”
  • IEC/TR 63158 “Equipment for general lighting purposes - Objective test method for stroboscopic effects of lighting equipment”
We use cookies
Essential Cookies

The essential cookies are always active. The website will not work without this. The essential cookies comply with all guidelines for the protection of your personal data.

Optional Cookies

However, some applications can only be guaranteed with the help of cookies, which could also forward your data to unsafe third countries. Their privacy policy applies to these applications:

  • YouTube (Videos)
  • Google Analytics

You can find out more about what cookies are and how they work in the privacy policy.

Do you agree to the use of all cookies?